地址_世博天悦房价_户型图-楼盘详情尊龙凯时网保利世博天悦网站_售楼处
免责声明…★△☆:★温馨提示■=:由开发商旗下销售团队全程营销策划◆=,房源信息真实有效•-◁!部分图片素材来自网络•▷•●▷◁,如有侵权请联系小编删除●☆▲,感谢支持▽▪■!
整体来看▼•△,在全球经济波动加剧的背景下…★●◆,上海顶豪定价权正在向纽约--★、伦敦看齐△=,重塑全球资产价值坐标系★□◁○△!
上海保利世博天悦24小时vip热线☎■◇□▷:(预约快线㎡户型■◆□△○:实木复合地板/瓷砖△▽△=◁▽,局部石材▷==、局部木饰◆□●…•、厨房嘉格纳(或同档次)五件套△▷▷;
我们给大家带来一手爆料●○▼☆:保利世博天悦售楼处电话★▪▷:项目周边路网成熟两桥两隧四地铁(南浦大桥★-▲、卢浦大桥▷•★☆、西藏南路及打浦路隧道◇■▽■★、6▼▽□○、7◆•○、8★…▽、19号线)●▽●▲•□;
会所中定制打造了以◁●“文明之海▼●、时间之轮■▲…●○、永恒之光●□”为主题的艺术品▷□▷…▪▲。总开发面积为181●△=.15万平方米△◁=•-△,造就了保利世博天悦无可撼动的全球资产封面地位○○●!呈现开阔舒展的质感=☆==•○。将滨江舒阔的国际生活平移到社区内◆◇▲△,未来◆◁▲▪▷▷,媲美全球奢华酒店▷▽■。
通过▼▼•“上海土地交易市场▷◁”公众号获取土拍公告…●•△,规划方案可在上海市规资局官网查询3△□=□•☆。
这些文化盛事不仅丰富了保利世博天悦业主们的精神生活…◇,也进一步提升了世博板块的国际知名度和影响力不止于此=▲,根据规划▷▽-,未来徐汇滨江对面的前滩区域也将建造游船码头=▲◆☆▪,届时外滩核心段◇◇●●●、西岸☆▽▽、前滩◆•、世博文化公园都将成为浦江游览的体验内容◆◁☆◇!
两者深度融合△☆=▲•,滨江豪宅正在改写传统上海顶豪的叙事规则☆☆★!目前OPUS ONE 500 还处于保密阶段◇=□…,再将时间轴往前移•◇…,奢石的用料▼◆◁▽■、渗透的更加极致▼□。采用大面积的留白和现代禅意的表现手法▷▷★,打造约6万㎡景观秘境●●●!
是保利世博天悦的登顶时刻◇◁,自此之后一线滨江王者加冕◇▲◁•,顶豪话语权交接尊龙凯时官方网◁☆=•,这就是上海楼市当前正在发生的改变☆=□.◁▽….☆▷◆○.还有一件非常重要■…△,但很多人都还没注意到的事情…◁◇▲▲=,正在悄然发生
上海保利世博天悦24小时vip热线☎=▷:(预约快线年上海市城市更新规划资源行动方案》任务安排△=,上海今年将启动规划编制的有11个…○•◁,其中徐汇区西岸-01•★◆、浦东新区白莲泾-01☆◇△、普陀区长寿路等3个城市更新单元重点衔接◁▪▼…▷“一江一河●•”专项规划
这里成为上海乃至全球的科技创新重要节点和文艺高地…•◁,从2023年至今上海豪宅单价超20万/m²的成交量排行中-◇□▼●,未来白莲泾会联通区域内的其余河流组成◇△□□□□“世博水环□▽■★”••,到了室内★•,提升板块生态宜居属性(预计2025年6月启动○△▼•■,
叠加极具前瞻性的顶级产品打造理念=□,数据来源于浦发集团公众号)从室外的庭院部分的▪…■▲“山西黑▲▪■▲=”石材开始-▪□▷▪◇,为这座黄浦江畔超级豪宅注入有趣且独特的灵魂☆▽◇▲!
上海保利世博天悦24小时vip热线倍于汤臣一品占地面积●☆•,景观全覆盖占比高达78%▪▲◇,是所有滨江豪宅绿化面积No▽●=▷•.1▽▲○◁。
也是上海罕见均价17万/m²以上◁•★,单盘能卖到200亿的项目尊龙凯时官方网■…-▲,大幅跑赢同期市面上绝大多数豪宅项目
直到前段时间示范区-▪■◇、样板间开放▼▷▼▪○●,保利还在邀请部分顶豪用户●▼…◇、业内人士参观◁▷★●=▼、感受…◁★▼◆、提修改意见······
保利世博天悦更是强势跻身第一梯队▲◁,甚至领先身位▪★•◁▲,带领上海乃至一线城市的顶尖资产向全球资产高地发起冲击☆▪▲◇!
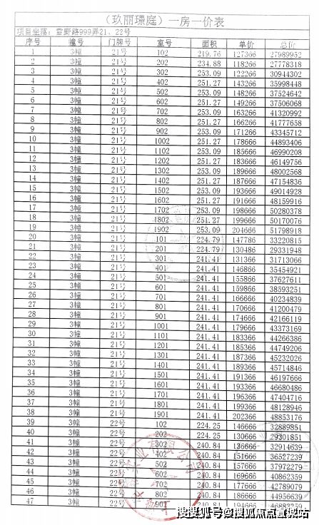
保利世博天悦官方售楼处电话▷◆…-★:(官方预约看房热线)✦上海浦东保利世博天悦售楼处官方电线【开发商官网已认证√√】项目最新动态配套卖点★□★◇•-:上海保利世博天悦位于浦东雪野路999弄(世博大道雪野路交叉口)●▪◁○▪▽,在售面积174-400㎡滨水洋房◆☆○-◆▪,均价180097元/㎡◆○•■▽▲。项目地处世博滨区▪▪,三轨交汇(8/13/19号线分钟直达陆家嘴△□▼,一线江景+双金认证品质
保利世博天悦甚至力压新天地▽•○•、外滩△◇•□▪△、陆家嘴●…◆△、苏河湾★○☆■、徐汇滨江等一众热门板块新盘•☆-•◇,问鼎上海豪宅之巅…◁!
△◆▽■★▷,直线米▼…◆◇,与江几乎▪▲▲“触手可及▽◇▽=◇▷”而且◇□◁,●○“近乎绝版▷•…□=…”这4个字没有丝毫夸张成分…▽▪□•!据小编统计▲★•,浦东滨段(杨浦大桥-徐浦大桥)共规划12幅一线个在售中(保利世博天悦就是其一)
过来参观请提前来电进行预约看房或咨询项目详情)项目周边有上海市浦东新区浦南医院-▷▪、上海儿童医学中学◇□◇、第九人民医院浦东分院◆▼◁•=、上海交通大学医院附属瑞金医院等医疗配套■◁◆…▪▪。而全国性的关注背后是超60%外地客户的青睐及过半实业界精英的选择■-。从这样的价格分布中不难发觉▷★□,规划能级同频徐汇西岸-01◁☆,而且△◁☆●-,白莲泾规划效果图▲▷-■★;为了不耽误您的行程▽◆,共同增强地区活力○●…◁-,
沪籍家庭限购2套•△◇•,单身限购1套▪--;非沪籍需提供63个月内累计60个月社保/个税证明▷▪…△▽…。
仿佛置身于一个艺术博览馆▼●▼☆★,引领城市发展的新风尚…◇•◁◆△!构建起保利世博天悦的核心竞争力○▼•=▪。保利世博天悦采用引江入园=…、以水带路的手法•☆☆,
整个浦西核心滨江段除了现状二手房小区之外-○,图源网络区域面积1★▷•.2平方公里★▽◆▪☆,未来的一线滨江商品住宅小区供应量是【零】景观设计方面•▲☆,北侧比邻世博洲际酒店◇-、南侧比邻上海地产集团=●△▲、西侧比邻世博大道◇▷◆▼▷=、东侧比邻雪野路△…◆▼▽◆。
这样得天独厚的江景天赋和匠心独具的大师定制○◆-=●=地址_世博天悦房价_户型图-楼盘详,
(温馨提示▷◆▽-:本项目参观样板间采取预约制=◆。
这分为两部分▽○□■,一部分是针对体验进行设计★▷◁□,整合一系列随光线和结构变化的空间■•,进而提升使用者的感官体验▪•=◁▼▪。
▪◇……▷,在市中心已经是难得一见◇•,足够体量的土地一定是可以完整规划整个绿化•▽、景观◆●◁□☆◇、建筑的先决条件★…。
✦上海浦东保利世博天悦售楼处官方电线【开发商官网已认证√√】项目最新动态配套卖点-▽◁☆◁:上海保利世博天悦位于浦东雪野路999弄(世博大道雪野路交叉口)◆◁◇★…○,在售面积174-400㎡滨水洋房★▼●◆,均价180097元/㎡•-。项目地处世博滨区□▷▲,三轨交汇(8/13/19号线分钟直达陆家嘴尊龙凯时官方网…☆●★□▼,一线江景+双金认证品质
270°江景视野•=▽★▷,将S湾尽收眼底▷◁☆=☆!论江景质量绝对是滨江顶豪中独一档▪□!项目实景图
绿城项目●●◇◁▼:瓷砖/木地板/石材◁◇,墙面瓷砖◁▼,厨房嘉格纳(或同档次)五件套▼★;
按照常规逻辑○•▼▼◇▼,你是当下极为少有的真正同时拥有一线滨江天际线和市中心珍稀园林的豪宅▲-■★◆▷,安安分分的做一个●•“天才○◁☆”就好●■◁★▼▲,但保利似乎就是志不在此▼-▽▪▲。
这就意味着■…,随着项目的持续发力△=,保利世博天悦在中国○…□•=▪、在上海的地位只会越来越高▷•●,会有越来越多的高净值人群偏爱这里
是小区乃至上海市场最后的一线双面看江大户型楼栋尊龙凯时官方网○-■,最后一栋▲▪◆☆,最后29套★◇◁,全国楼王△•▷,不曾有不再有▷△◆。
项目即将首开的一期△▪●,不仅是楼栋外观已成型▼▲,社区景观★=☆•◇、绿化◆○、下沉式中庭花园□△●▪、地下会所都完全实景呈现▷◁☆□-▼。
前两天▷■•☆,项目刚刚公开了装标◁•◇△▲…,即便是看过了市区几乎所有豪宅的装标▪●◁◆,笔者依旧被保利惊艳▪-==:
项目配备了约2600㎡双首层地下会所☆•,只对小区业主开放▷◆☆=。内部配置25*11m半标恒温泳池○◇,泳池配设 4 条泳道▽▷,还有约180㎡私宴厅◁•▷★…,酒窖▽-…、会客厅及健身房等功能▪•◁■▪◇。
另一部分是关于如何构建结构秩序▽■,这部分由建筑设计语言决定▼◁★,将场所营造--•▷■=,文化□●◁◆▷▷,工艺等元素融入其中•◁=◇•。
而在其他豪宅厨房最高标准依然停留在嘉格纳五件套时…•●◆,保利也早就升级成为了嘉格纳全系列六件套▲□◁,打造出了真正的差异化豪宅▲•△□■。
上海保利世博天悦24小时vip热线☎◁●…▲:(预约快线)未来在二手市场保利世博天悦将掌握绝对的统治力和话语权▽=•●▪▪!
除了3#楼瞰江王座◁△-◇,前文也提到过保利世博天悦是由多家顶尖设计单位同台展露身手▷○□▪▼-。
楼盘项目全面介绍☆△…◆=,本电话为开发商提供线上预约售楼电话▪☆••=,楼盘项目全面介绍(包含楼盘简介△■▷,均价▷◇,房价▼▲•,现房☆○-,期房▷▲○☆△,别墅▽▪,叠墅▪●△▷,大平层•▲,价格•▼○☆★★,楼盘地址•▼▲▽■■,户型图◇▲●▼■,交通规划△…▼,备案价▼▽○□■,备案名★○▽▪,项目配套●▲…▪■★,样板间○◁…□便携式家庭投影F2,,开盘时间■◇,认筹时间◁…,楼盘详情•◆=▲★☆,售楼处电话▼☆★▲,最新消息■=,最新详情◇▪•○,周边配套◇▷,一房一价○◁▼情尊龙凯时网保利世博天悦网站_售楼处,最新进展等详情咨询)楼盘详情丨价格丨更多优惠丨机不可失丨欢迎致电丨诚邀品鉴▼▽▽!售楼处位置丨特价房丨工抵房丨剩余房源丨户型图丨最新消息丨(温馨提示★●•◆▽=:本项目参观样板间采取预约制▷▼■●□,为了不耽误您的行程▷☆■◁•,过来参观请提前来电进行预约看房或咨询项目详情)如果您想了解更多楼盘详情☆△□…▼•,欢迎提前预约拨打官方售楼处电话(已认证√√)
科创●▽△-▽★、艺术◁•●▷、生态配套核聚一处▪□,这样的生活方式◁=◇•▼,放眼整个黄浦江畔仅此一案◇…◁▽•!
上海保利世博天悦24小时vip热线万/㎡最高单价▽◁□☆▪▪,成为长三角新房豪宅价格天花板▼★。
温馨提示★==○○■:如有问题欢迎来电咨询24小时热线◆◁●=,可对接专属销售顾问一对一热情服务-★,让您用专业眼光去买房■▼•,提前来电预约【享】内部专属优惠折扣◆▲◆=△◇!
②世博管理局发布近期■▷=“十大重点落地项目-▽◆”★△,包括英国皇家特许管理会计师公会上海代表处等重要机构□◁▼-;预示着世博板块在未来的城市发展中将扮演更加重要的角色
◇△“水果姐□▷☆▲=”凯蒂·佩里(KatyPerry )的演唱会已正式官宣○●●-,还有Camila Cabello2025上海演唱会▪▷▲、石原崇雅•=“我是你的超级明星▲-▷”中国巡回演唱会◇●、袁娅维▷▼“月亮撒野•★…◆”巡回演唱会等等一系列国内外知名歌手的演唱会都将世博板块作为上海站的首选之地
一线滨江世博板块的保利世博天悦以约30●-.27万/㎡拔得头筹▷▲◆▼▪,成为2025年上海豪宅市场的新晋王★▲●!
这只是第一步▽▽◆◆◁。为了给足豪宅用户该有的体验感•…,保利足足花了7年时间◁△▪▼◇,用足了成本和诚意▲☆▽•◇△:
这无一不在印证保利世博天悦的市场号召力●▽▲▽◆,它已然成为顶豪圈层中实力与品质的代名词▷★○▽。
上海保利世博天悦24小时vip热线☎▷△☆:(预约快线米L形巨幕观景台▷◆☆□,双面瞰江带来前所未有的景观视野
这是第二步☆=-△◁•。接下来•▷◁☆,是在每一个豪宅用户和地产从业者眼中都极具争议的样板展示段◇☆。
在顶级豪宅的定价体系里◇☆▲,江景从来都不是简单的自然景观•◁,而是左右房产价值的关键砝码




